Desarrollo de un dispositivo electrónico para el
cálculo de reactividad en el reactor nuclear RP-10
Development of an electronic device
for the calculation
of the reactivity
in the RP-10 nuclear reactor
Juan Suica1, Pablo Mendoza2, Gianfranco Huaccho2
1 Universidad
Nacional Mayor de San Marcos, Facultad de Ingeniería Electrónica y Eléctrica,
Av. Universitaria /Calle Germán Amezaga 375, Lima 1, Perú.
2 Instituto
Peruano de Energía Nuclear, Dirección de Investigación y Desarrollo, Av.
Canadá 1470, Lima 41, Perú
Resumen
Se ha desarrollado un
dispositivo electrónico para el cálculo de reactividad en el reactor nuclear
RP-10, mediante el método de cinética inversa obteniéndose resultados
comparables con un margen de error ± 10 % respecto al método del período. En el
presente artículo se describen las ventajas del método implementado en la
operatividad del reactor RP-10.
Palabras claves:
Reactividad; Cinética nuclear, Método de cinética inversa
Abstract
An electronic
device has been developed for the
calculation of reactivity in the RP-10 nuclear
reactor using the inverse kinetic method, obtaining comparable results in a margin of error ± 10 % respect to the period
method. In this article the advantages
of the method
implemented in the operation of the
RP-10 reactor are described.
Keywords: Reactivity;
Nuclear kinetic, Inverse kinetic method
1.
Introducción
Uno de los parámetros más importantes en la física de
reactores es la reactividad, cuyo valor nos indica el estado de criticidad del
reactor, información de vital importancia para las experiencias como para la
operación del reactor. Dicho parámetro se define matemáticamente en términos
del factor de multiplicación efectivo (Keff) [1,2] como se expresa en la
ecuación siguiente.
p = (k_eff
- 1)/k_eff (1)
La reactividad puede calcularse con métodos estáticos como
el método del período o dinámicos como el método de Rod
Drop usados en el reactor RP-10 [3].
Un método alternativo es el método de cinética inversa que permite deducir el
valor de reactividad a partir de la evolución instantánea de la población de
neutrones.
Este último método se muestra como el más útil desde la
perspectiva del operador, debido a que brinda un valor numérico de reactividad
en tiempo real, a diferencia del procedimiento convencional consistente en ver
los indicadores analógicos y la gráfica de la evolución de la población de
neutrones. Adicionalmente este método fue probado en trabajos anteriores [4],
mostrando resultados consistentes con los reportados mediante los métodos
tradicionalmente usados en el reactor RP-10.
Para determinar la
reactividad mediante el método de cinética inversa es necesario establecer un
algoritmo numérico aplicado a una señal proporcional al flujo de neutrones del
reactor, que se consigue con una cámara de ionización compensada (CIC). Este
arreglo es de una relativa fácil implementación empleando microcontroladores,
que poseen módulos conversores y que permiten digitalizar señales analógicas.
Actualmente, muchos modelos poseen capacidad de cálculo para usarse en
procesamiento de señales, lo que posibilita obtener un dispositivo práctico y
fácil de instalar en la consola de control del reactor RP-10.
En el presente trabajo se
muestra la metodología empleada para el cálculo de reactividad por el método de
cinética inversa y el desarrollo de un dispositivo basado en un
microcontrolador para calcular la reactividad, mostrándose los resultados de
las pruebas realizadas y su comparación con los métodos empleados actualmente.
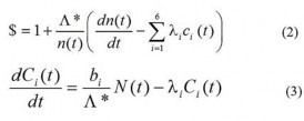
2.
Descripción del método de cinética inversa
El comportamiento temporal del reactor está caracterizado
por las ecuaciones de cinética puntual [2]. Con el método de cinética inversa
se busca expresar las ecuaciones de cinética puntual de tal forma que la
reactividad sea una función de la población neutrónica [5]:

Donde:
n(t) : población neutrónica.
$ : reactividad expresada en
dólares.
Ʌ * : tiempo entre generaciones
normalizado a la constante ® del núcleo
Ci(t) : concentración
de precursores del grupo i.
Λi : constante
de decaimiento del grupo i.
bi : fracción de
producción de precursores en el grupo i.
Considerando valores
discretos para la variable temporal t=k*h, donde h es un valor muy pequeño
expresado en milisegundos, k es un valor entero no negativo y N un conjunto de
valores discretos: N0, N1, N2…Nk; proporcionales a
n(t).
De la definición anterior
podemos obtener un sistema discreto recursivo para el cálculo de la reactividad
$k correspondiente al intervalo de tiempo {tk-1, tk}.

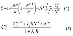
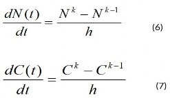
La discretización del
término derivativo de la ecuación (3) se realizó pasando a diferencias como se
observa en las ecuaciones (6) y (7), obteniéndose el (5).

El sistema conformado por
las ecuaciones (4) y (5) es una aproximación aceptable para un valor de h menor
o igual a 100 ms según se observó de las pruebas realizadas.
3.
Desarrollo experimental
1.
Implementación del reactímetro
Para el desarrollo del dispositivo planteado se utilizó parte de
la instrumentación del sistema de ruido neutrónico con que cuenta el
Laboratorio de Física de Reactores (LABFER), específicamente una cámara de
ionización compensada (CIC) y un amplificador lineal de ganancia variable. En
la Figura 1 se muestra un diagrama del
sistema implementado.

Figura 1. Sistema
implementado para la medición de reactividad.
Una CIC es una cámara de
ionización integradora, que se alimenta con voltaje constante y cuando la
radiación es lo suficientemente intensa para producir ionización en el interior
de la cámara, los iones son guiados por el campo eléctrico hacia los electrodos
y aparece un corriente la cual puede ser medida directamente [2,6].
La CIC se conecta a un amplificador de corriente para amplificar la señal que
esta genere.
Esta señal es acondicionada antes de pasar a la etapa de
digitalización. En la Figura 2 se
muestra el diagrama de la
etapa de acondicionamiento.
El amplificador de ganancia
unitaria funciona como buffer y proporciona un efecto de aislamiento entre el
filtro pasa bajo y la etapa anterior. El filtro pasa bajo elimina componentes
no deseados y el limitador de voltaje limita los valores de voltaje que llegan
hasta el ADC.

Figura 2. Esquema de la
etapa de acondicionamiento implementada.
El bloque más importante de
la etapa de acondicionamiento es el filtro pasa bajo, el cual se diseñó
teniendo en cuenta la característica de la señal de interés y las acopladas que
alteran la señal original.
La configuración usada es el filtro activo Sallen-Key pasa
bajas. El uso de este circuito es por su tolerancia a la precisión de los
componentes y la sencillez en su implementación, obteniéndose una pendiente de
caída de mayor rapidez que la que se obtendría con filtros pasivos [7].

Figura 3. Filtro Sallen-Key
implementado.
La señal de interés es relativamente lenta, su evolución
puede seguirse visualmente en un monitor, el componente en frecuencia que se
acopla y altera es la de 60 Hz. Teniendo en cuenta este criterio se eligieron
los componentes para el filtro que permita obtener una frecuencia de corte de
34 Hz [8]. La función de transferencia del filtro se
muestra en (8).
G(s) =
45913.7/(s^2 + 303s + 45913.7) (8)
La tarea de digitalización y el cálculo de reactividad las
realiza el microcontrolador AT91SAM3X8E, que está montado en la tarjeta Arduino
Due. Entre las características más resaltantes de
este microcontrolador y que lo hacen adecuado para este desarrollo son [9]:
§ Procesador ARM Cortex M3 de 32bits.
§ Frecuencia máxima de
trabajo 84 MHz.
§ Periférico conversor
análogo digital (ADC) de 12 bits.
§ Periféricos de comunicación
serial.
§
Memoria flash para programa hasta 512 kB.
La placa de circuito impreso (PCB) implementada está
compuesta adicionalmente por otros bloques funcionales que permiten su
funcionamiento a partir de una alimentación simple de 5V a 12V. Estos bloques
constan básicamente de inversores, reguladores y elevadores de voltaje, Figura
4.

Figura 4. Módulo
electrónico implementado montado en porta módulos tipo NIM.
2.
Cálculo de reactividad
La señal obtenida por la CIC después de su acondicionamiento
y digitalización es utilizada para calcular la reactividad. En la Figura
5 se muestra el diagrama de bloques del algoritmo implementado. El
resultado se puede mostrar a través de dos interfaces diferentes; la primera a
través de un display numérico mostrando el valor promedio de reactividad en un
segundo, y la segunda a través de una interfaz gráfica donde el
microcontrolador envía los datos por USB. Para este proyecto también se
desarrolló una interfaz con el software LabWindows
que permite visualizar y guardar los datos recibidos.

Figura 5. Algoritmo
implementado en el Microcontrolador AT91SAM3X8E del Arduino.
3.
Procedimiento para cálculo de reactividad con el método de
cinética inversa en el reactor RP-10
Antes de iniciar con el
procedimiento se debe colocar la CIC en una posición cercana al núcleo del
reactor, luego:
§ Establecer la condición
inicial llevando al reactor a crítico y esperar a que el reactímetro
tienda a cero.
§ Con el reactor en estado
crítico se inserta reactividad positiva. El reactímetro
indica la evolución de reactividad en tiempo real.
§ Se observa el gráfico o el
display numérico. Cuando el valor de reactividad tiende a un valor fijo se
tendrá el mejor valor de reactividad estimado.
4.
Simulación
Antes de las pruebas reales
se realizaron simulaciones, con ese fin se generó los datos de corriente
correspondientes a una inserción de reactividad de 100 pcm
equivalente a 0.15 dólares aproximadamente.
A partir de los datos
simulados se generó una señal de voltaje con la ayuda de un DAC, la salida se
conectó a la entrada de la etapa de acondicionamiento.
La Figura 6 muestra la interfaz
implementada para recoger la información que envía el reactímetro
por puerto serial, en ella se observa la rápida convergencia hacia un valor de
0.152$, muy cercano al simulado lo que permite validar el método implementado.

Figura 6. Simulación de una
inserción de reactividad de 0.15 dólares.
4.
Resultados
Se realizó la calibración de la barra de control BC1 con el
método del período, según el procedimiento de determinación de exceso de
reactividad [3,10] registrando en paralelo la reactividad instantánea con el
método de cinética inversa. Los datos obtenidos los podemos apreciar en
la Tabla
2.
Tabla 1. Condiciones de
operación para la experiencia de calibración de la barra de control BC1.
Tabla 2.
Reactividad calculada para cada tramo de barra extraído.

Figura 7. Gráfica
reactividad versus tramo de barra extraído.

Figura 8.
Evolución temporal de la reactividad para la extracción del tramo de barra 44.9
% a 50.6 %.
5.
Discusión
El método propuesto de
calibración de barras implica que la corriente en las cámaras de ionización
compensada, de donde procede la señal de medición, es proporcional a la
población neutrónica en cada instante.
En la Tabla
2 se observa que los resultados obtenidos por ambos métodos
son comparables con una diferencia relativa menor al 10 %. En la Figura
7 se muestra un comportamiento similar de ambos métodos en función del
porcentaje de extracción lo que para fines prácticos indica una viabilidad en
la aplicación del método propuesto.
El método de cinética
propuesto puede ser muy sensible a cambios sutiles en las condiciones de
operación del reactor (temperatura, por ejemplo) gracias a los dispositivos
electrónicos incorporados que permiten identificar eventos muy puntuales en el
tiempo como la inserción de espadas en los elementos combustibles.
En la Figura
8 se muestra la evolución de la reactividad para una inserción de
reactividad positiva permitiendo seguir, en tiempo real, el estado del núcleo
del reactor.
El dispositivo implementado
es de suma utilidad para el operador, pues dispondrá de una herramienta capaz
de “ver” el valor instantáneo o la evolución de la reactividad en tiempo real
anticipándose al control del mismo, siendo de mucha utilidad en experimentos
donde se requiere una irradiación a potencia constante.
6.
Conclusiones
La sensibilidad del método
nos permitirá observar efectos de realimentación de reactividad no perceptibles
con los demás métodos.
Al personal de operaciones
del reactor RP-10 del IPEN, en especial al Lic. Edgar Ovalle. Al MSc. Rubén
Bruna del Área de Cálculo. Al CONCYTEC por su apoyo financiero en la
realización del presente artículo a través de la ejecución del Convenio de
Gestión N° 024- 2013.
8.
Referencias
[1]. Huaccho G. Implementación de un software para el cálculo de reactividad
en el reactor RP-10. Instituto Peruano de Energía Nuclear, Dirección de
Investigación y Desarrollo. [Informe interno].
[2]. Glasstone
S. Ingeniería de reactores nucleares. México, Reverté, 1990.
[3]. Zúñiga A. Métodos
experimentales de medición de reactividad. Informe Nuclear. 1983; Tomo II,
1:42-54.
[4]. Castro J, Zapata M,
Bruna R. Validación del programa FERCIN para la calibración de las barras de
control del reactor RP-10. Informe Científico Tecnológico. 2004; 4:87-92.
[5]. Santos J, Caballero C,
Palacios J. Determinación experimental de la reactividad empleando la cinética
inversa: Fundamentos teóricos del código CININV. Revista Cubana de Física.
1996; 14:61-66.
[6].
Knoll G. Radiation detection
and measurement. John Wiley & Sons,
1999. [7]. Floyd T. Dispositivos electrónicos. México: Pearson Educación, 2008.
[9] Perea F. Arduino essentials. Birmingham, UK: Packt
Publishing; 2015.
[10]. Instituto Peruano de
Energía Nuclear. Calibración de barras de control al inicio del núcleo 45 y
determinación del exceso de reactividad. Dirección de Producción [Informe
interno].